Abstract
Introduction
In multiple myeloma (MM), the RAS-RAF-MEK-ERK pathway plays a key role in regulation of cell growth, differentiation, proliferation, and cell death. The BRAF gene, located on chromosome 7, is the most potent component of the RAF group, and usually involves missense mutations clustered in exons 11 and 15.
In this retrospective study, we investigated the prevalence of BRAF mutations in MM, the clinical and pathological significance of these mutations, and whether these BRAF mutations occur as initial or acquired mutations.
Methods
Patient data was retrieved from the clinical database of patients with MM who had been diagnosed and/or treated at The University of Texas MD Anderson Cancer Center during January 2015 through December 2020. To be included, participants had to be aged >18 years, have been diagnosed with MM, and have a positive BRAF mutation, identified using an 81-gene panel that had been performed on their bone marrow samples.
The primary outcome variable was overall survival (OS) time. The secondary outcome variable was progression-free survival (PFS). Patients were classified as sustained when repeat bone marrow in relapse or refractory patient showed a persistent BRAF mutation, and as non-sustained when repeat bone marrow in relapse or refractory patient did not have a persistent BRAF mutation.
Results
Of the 22 patients in our study, most were men (73%), and the median age at diagnosis, for all patients, was 66 years (range, 28-79 years). Half of patients (50%) had a monoclonal immunoglobulin G as part of their MM, while 9 (40.9%) patients had monoclonal immunoglobulin A MM. Most patients (68.4%) had stage III disease.
For BRAF mutation, only 3 (13.6%) patients had the V600E variant, and 5 (22.7%) had the G469A variant which was the most common. Other prominent variants were D594N (13.6%), G466A (9.1%), and G466E (9.1%). Of the 11 patients who had a sustained BRAF mutation, 8 (72.7%) patients had remission after first-line therapy, and 9 underwent an autologous stem cell transplant.
Seven patients (31.8%) had only a BRAF mutation. Other commonly mutated genes were KRAS in 5 (22.7%), DNMT3A in 4 (18.2%), NRAS in 4 (18.2%), and TP53 in 3 (13.6%). We found that exon 11 (72.7%) was more frequently affected than exon 15 (27.3%). The most common chromosomal change was diploid (30.0%), and complex in 6 patients (30.0%).
Complete response was achieved in 7 (31.8%) patients, a partial response was seen in 8 (36.4%) patients, and 4 (18.2%) patients had stable disease. Overall, 14 (63.6%) patients underwent an autologous stem cell transplant.
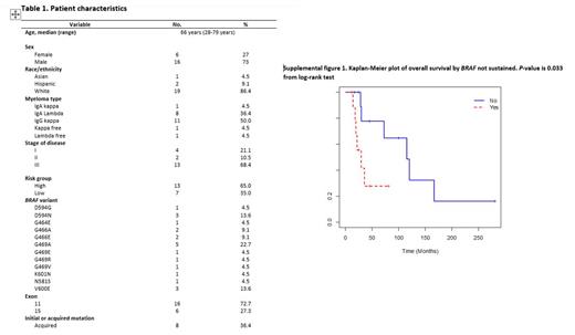
The median follow-up time was 45.5 months (range, 12.0-280.9 months), and the median survival time was 72.7 months (95% CI, 29.7 months-not reached). The 5-year OS rate was 52.3% (95% CI, 0.337-0.811). For patients with sustained BRAF mutations and patients without a sustained BRAF mutations, the 5-year OS rates were 77.8% (95% CI, 54.9%-100.0%) and 27.8% (95% CI: 8.9%-86.9%), respectively. In univariable analysis, patients in whom BRAF was not sustained had marginally significantly poorer OS (HR, 4.20; 95% CI, 1.01-17.39; P=0.048).
The median PFS time was 16.6 months (95% CI, 11.2-44.5 months), and the 5-year PFS rate was 14.3% (95% CI, 5.0%-40.7%). On univariate analysis, we observed significantly worse PFS rates in patients who had initial disease (HR, 2.84; 95% CI, 1.05-7.68; P=0.049), did not have sustained BRAF mutations (HR, 2.74; 95% CI, 0.98-7.69; P=0.037), or achieved stable disease (HR, 6.82; 95% CI, 1.51-30.73; P=0.012). Patients who achieved remission after first-line therapy (HR, 0.14; 95% CI, 0.04-0.49; P=0.002) had significantly better PFS.
Conclusion
In our study, patients with sustained BRAF mutations versus those who did not have sustained BRAF mutations, had higher 5-year OS rates (77.8% vs. 27.8%); and had better 5-year PFS rates, 27.3% versus all patients showing progression within 3 years.
We have shown that the loss of BRAF mutations negatively affects patient outcomes and survival. However, the small size of our study limits the generalizability of our results to BRAF mutation-positive MM. We encourage other studies to assess the prognostic value of BRAF mutations in MM, and recommend the use of a routine panel to check for BRAF mutations in order to appropriately adjust therapy for such MM patients. Also, despite the low incidence of BRAF-mutated MM, more trials are needed to accurately evaluate the response to BRAF-targeting therapy.
Sasaki: Pfizer: Membership on an entity's Board of Directors or advisory committees; Novartis: Consultancy, Research Funding; Daiichi-Sankyo: Membership on an entity's Board of Directors or advisory committees. Borthakur: Novartis: Consultancy, Membership on an entity's Board of Directors or advisory committees; Astex: Research Funding; GSK: Consultancy; Takeda: Membership on an entity's Board of Directors or advisory committees; University of Texas MD Anderson Cancer Center: Current Employment; ArgenX: Membership on an entity's Board of Directors or advisory committees; Ryvu: Research Funding; Protagonist: Consultancy. Pemmaraju: Roche Diagnostics: Consultancy; Daiichi Sankyo, Inc.: Other, Research Funding; Clearview Healthcare Partners: Consultancy; Incyte: Consultancy; Springer Science + Business Media: Other; MustangBio: Consultancy, Other; LFB Biotechnologies: Consultancy; Stemline Therapeutics, Inc.: Consultancy, Membership on an entity's Board of Directors or advisory committees, Other, Research Funding; Dan's House of Hope: Membership on an entity's Board of Directors or advisory committees; Sager Strong Foundation: Other; Abbvie Pharmaceuticals: Consultancy, Membership on an entity's Board of Directors or advisory committees, Other, Research Funding; Novartis Pharmaceuticals: Consultancy, Other: Research Support, Research Funding; DAVA Oncology: Consultancy; HemOnc Times/Oncology Times: Membership on an entity's Board of Directors or advisory committees; Samus: Other, Research Funding; Plexxicon: Other, Research Funding; Protagonist Therapeutics, Inc.: Consultancy; Celgene Corporation: Consultancy; Affymetrix: Consultancy, Research Funding; ASCO Leukemia Advisory Panel: Membership on an entity's Board of Directors or advisory committees; ASH Communications Committee: Membership on an entity's Board of Directors or advisory committees; Cellectis S.A. ADR: Other, Research Funding; CareDx, Inc.: Consultancy; Aptitude Health: Consultancy; Blueprint Medicines: Consultancy; Bristol-Myers Squibb Co.: Consultancy; ImmunoGen, Inc: Consultancy; Pacylex Pharmaceuticals: Consultancy. Qazilbash: Angiocrine: Research Funding; Bristol-Myers Squibb: Other: Advisory Board; Oncopeptides: Other: Advisory Board; Biolline: Research Funding; Janssen: Research Funding; NexImmune: Research Funding; Amgen: Research Funding.

This feature is available to Subscribers Only
Sign In or Create an Account Close Modal